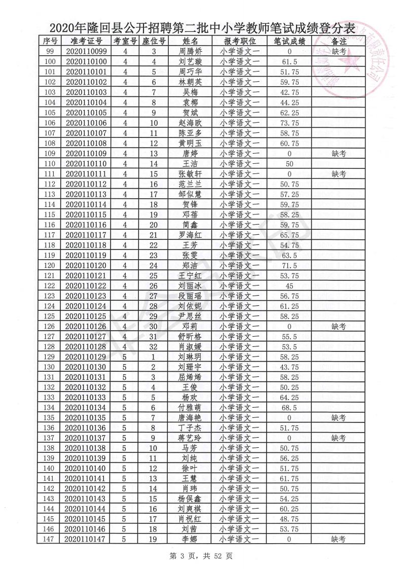
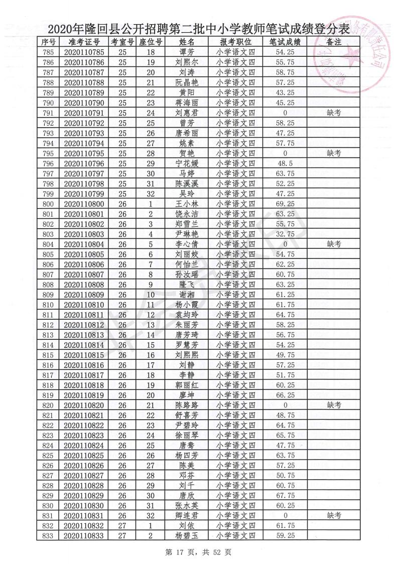
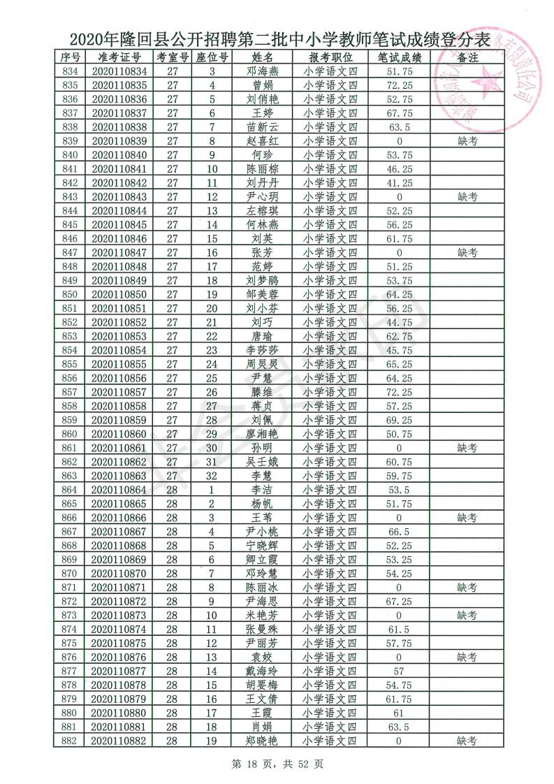
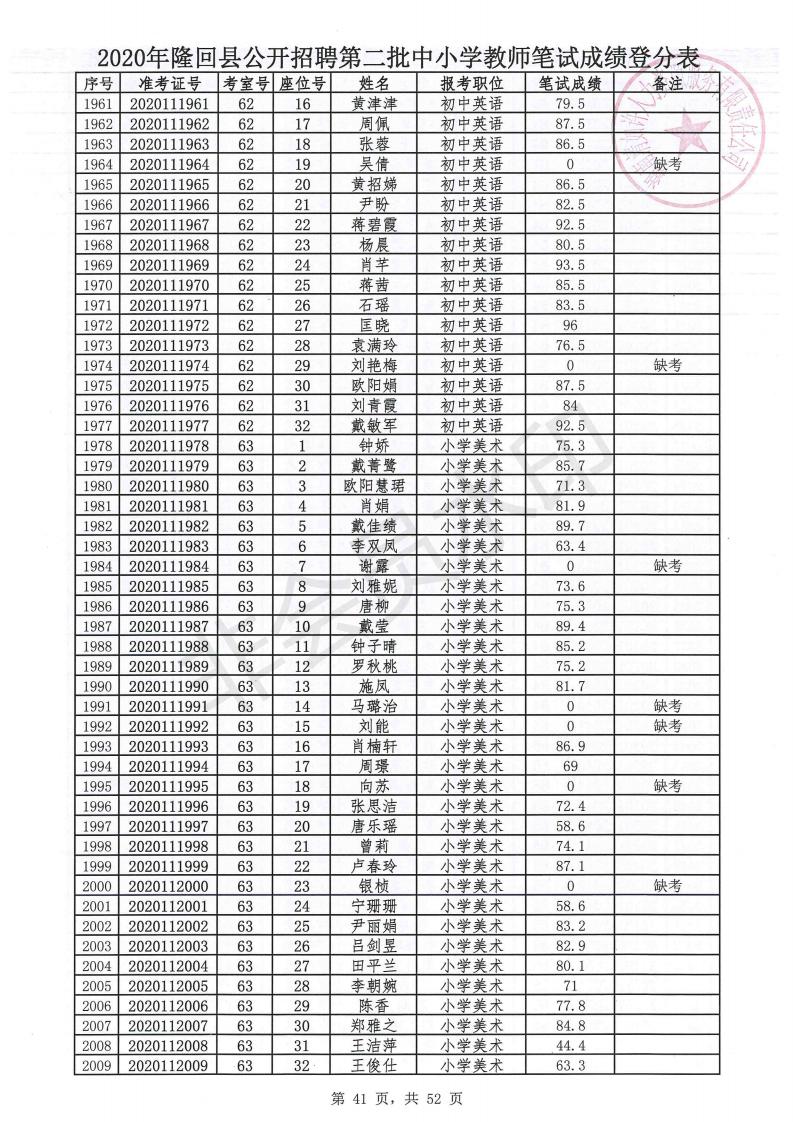
2020年隆回县公开招聘第二批中小学教师笔试成绩现予以公布,考生如需查分,须本人携带准考证、身份证于2020年12月9日-12月11日(上午8:00-12:00 下午14:30-17:30),到隆回县教育局政工股提出书面申请,逾期不予受理。
隆 回 县 教 育 局
隆回县人力资源和社会保障局
二○二○年十二月八日




















































稿件单位:隆回县教育局 (责任编辑:隆回县教育局)